• Предмет: Алгебра
  • Автор: Аноним
  • Вопрос задан 3 года назад

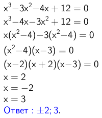
решите уравнение x^3-3x^2-4x+12=0

Ответы

Ответ дал: SkyBy
3
Смотрите решение в прикреплённом файле.
Приложения:
Вас заинтересует