• Предмет: Алгебра
  • Автор: aertg
  • Вопрос задан 3 года назад


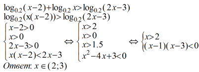
Log0,2 (x-2) + log0,2 (x)>log0,2 (2x-3)

Ответы

Ответ дал: Аноним
0
**********************************
Приложения:
Вас заинтересует