Помогите решить уравнение!!!!
СРОЧНО!
Приложения:

25nas:
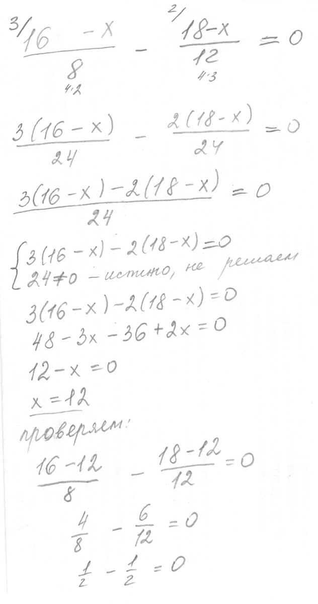
Ответ. х=12
вот еще одно
у^2-25y=0
Ответы
Ответ дал:
1
смотри решение в приложении
Приложения:

Вас заинтересует
2 года назад
2 года назад
2 года назад
7 лет назад
7 лет назад
9 лет назад