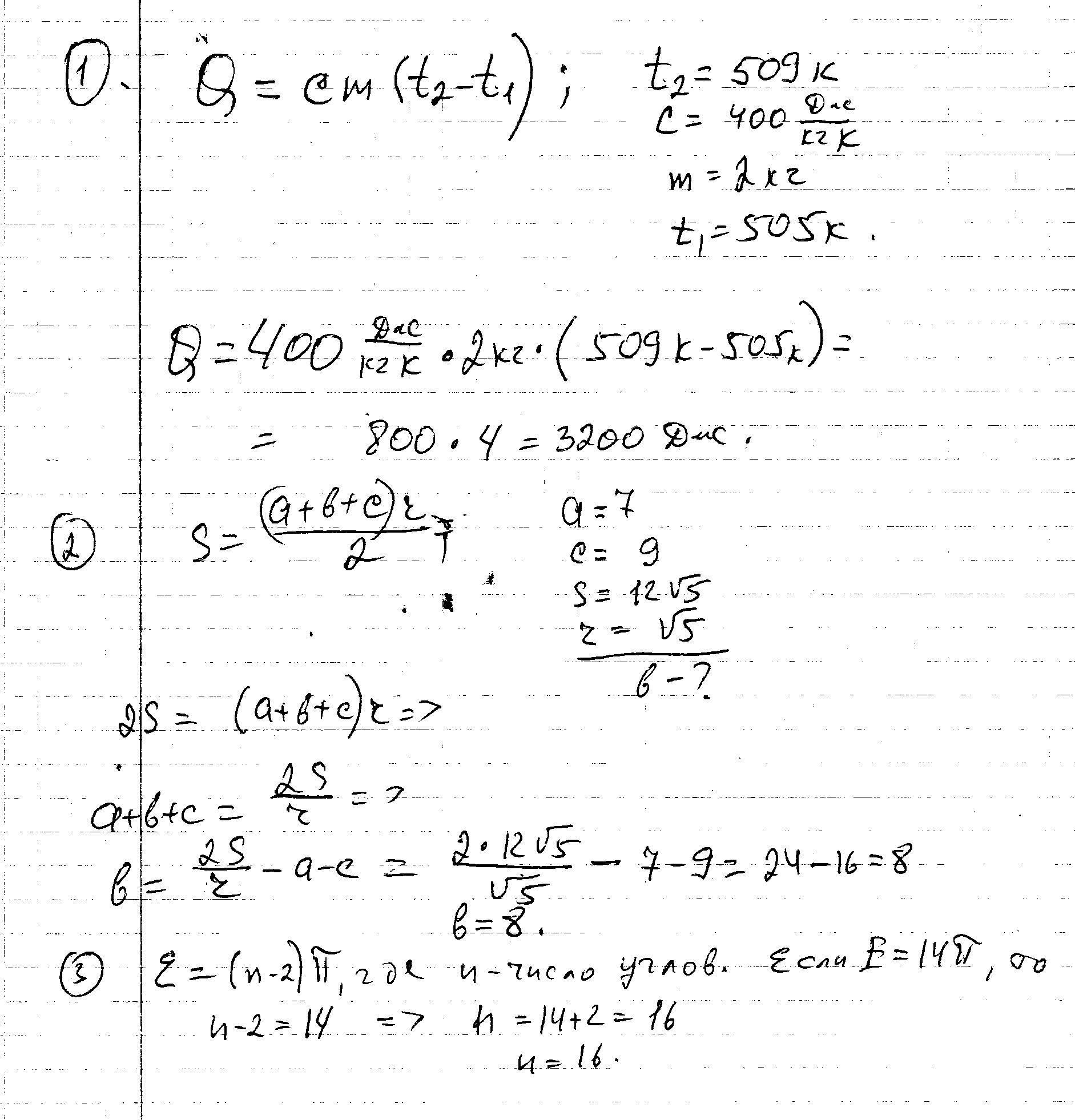
1)Количество теплоты (в джоулях),полученное однородным телом при нагревании,вычисляется по формуле Q=cm(t2 - t1),где c - удельная теплоёмкость(в
Дж/кг*K),m - масса тела (в кг),
t1 - начальная температура тела (в кельвинах),а t2 - конечная температура тела(в кельвинах).
Пользуясь этой формулой,найдите Q (в джоулях),если t2=509 K,c=400(Дж/кг*K),m=2 кг и t1=505 K.
2)площадь треугольника можно вычислить по формуле S=(a+b+c)r/2,где a,b и c стороны треугольника,а r - радиус окружности,вписанной в этот треугольник.пользуясь этой формулой,найдите b,если a = 7,c = 9,S=12
,и r =
3)Сумма углов правильного выпуклого многоугольника вычисляется по формуле
E=(n - 2)п,где n - количество его углов.Пользуясь этой формулой,найдите n,если E=14п
Ответы
Ответ дал:
5
решение в скане..............
Приложения:
Вас заинтересует
2 года назад
2 года назад
2 года назад
2 года назад
7 лет назад
7 лет назад
9 лет назад
9 лет назад