• Предмет: Геометрия
  • Автор: anupadaka647
  • Вопрос задан 3 года назад

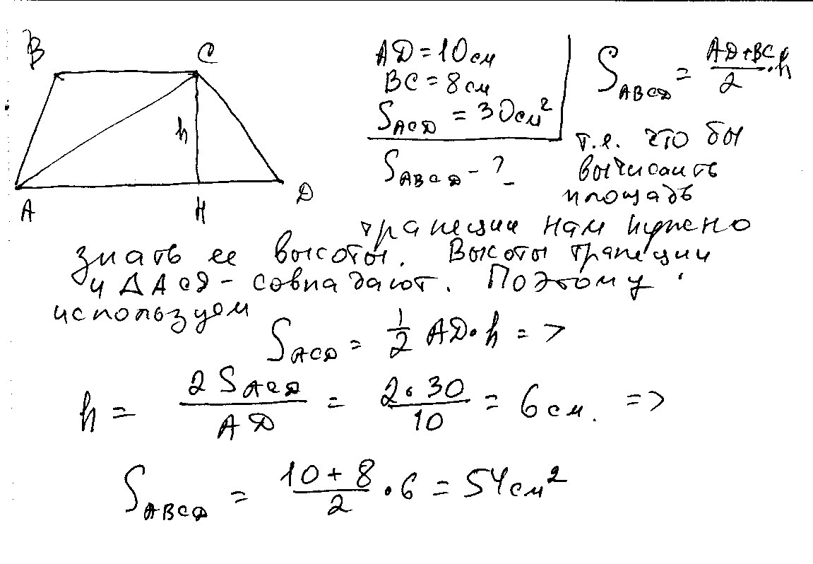
В трапеции авсд основания ад и вс равны 10 см и 8 см соответственно . Площадь треугольника асд равна 30 см кв . Найдите площадь трапеции

Ответы

Ответ дал: ужнеужели
11
В трапеции авсд основания ад и вс равны 10 см и 8 см соответственно . Площадь треугольника асд равна 30 см кв . Найдите площадь трапеции
Приложения:
Ответ дал: nabludatel00
1
решение смотри в файле
Приложения:
Вас заинтересует