• Предмет: Алгебра
  • Автор: Svetlana12321
  • Вопрос задан 11 лет назад

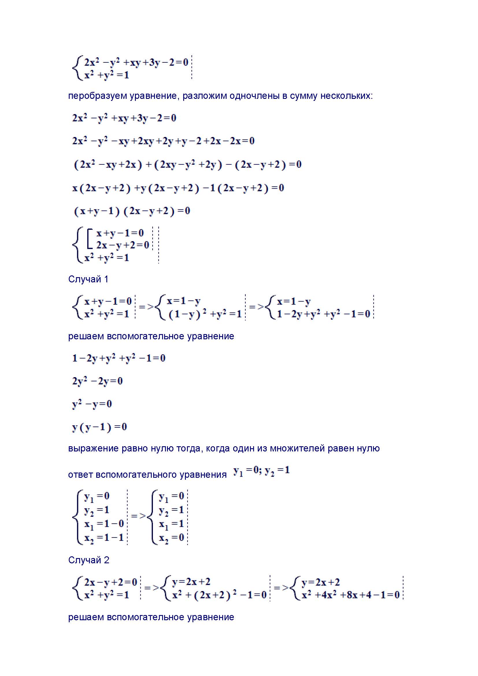
решите систему

2x^2-y^2+xy+3y-2=0

x^2+y^2=1

Ответы

Ответ дал: mishuris
0

Решение во вложении. Удачи!

Приложения:
Вас заинтересует