Ответы
Ответ дал:
0
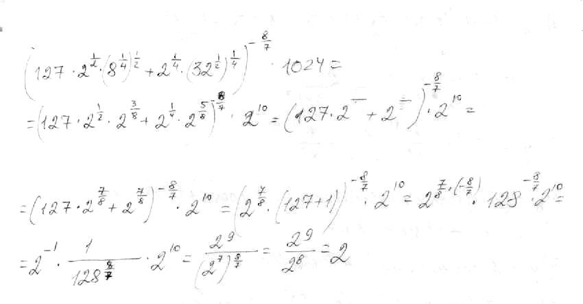
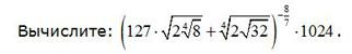
УУУУУУУУУУх, хороший примерчик!!
Приложения:

Вас заинтересует
2 года назад
2 года назад
2 года назад
2 года назад
7 лет назад
7 лет назад
9 лет назад
9 лет назад