Ответы
Ответ дал:
3
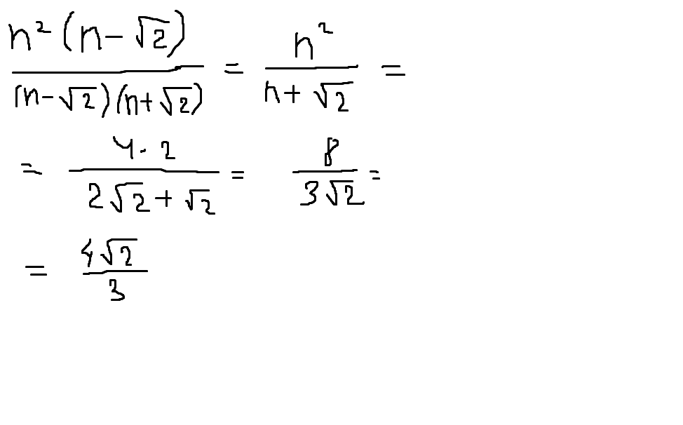
Получится вот так :)
Приложения:

Lenka1402:
спасибо
Вас заинтересует
2 года назад
2 года назад
2 года назад
2 года назад
7 лет назад
7 лет назад
9 лет назад