• Предмет: Алгебра
  • Автор: ilovemars
  • Вопрос задан 3 года назад

найти значение выражения

Приложения:

Ответы

Ответ дал: martiemiliya
1
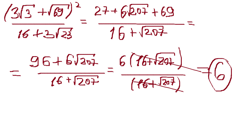
Решение во вложении на фото :)
Приложения:
Ответ дал: pocchtaa
1
 \frac{(3 \sqrt{3}+ \sqrt{69} )^2 }{16+ \sqrt{23} } = \frac{(3 \sqrt{3} )^2+2*\sqrt{3}*\sqrt{69}+ (\sqrt{69})^2}{16+ \sqrt{23} }  = \frac{9*3+2 \sqrt{3*69} +69}{16+ \sqrt{23} } = \frac{96+2 \sqrt{207} }{16+ \sqrt{23} } =

=\frac{96+2 \sqrt{9*23} }{16+ \sqrt{23} } =\frac{96+2 *3\sqrt{23} }{16+ \sqrt{23} } =\frac{96+6\sqrt{23} }{16+ \sqrt{23} } =\frac{6(16+\sqrt{23}) }{16+ \sqrt{23} } =6
Вас заинтересует