• Предмет: Алгебра
  • Автор: Димон11111111111111
  • Вопрос задан 3 года назад

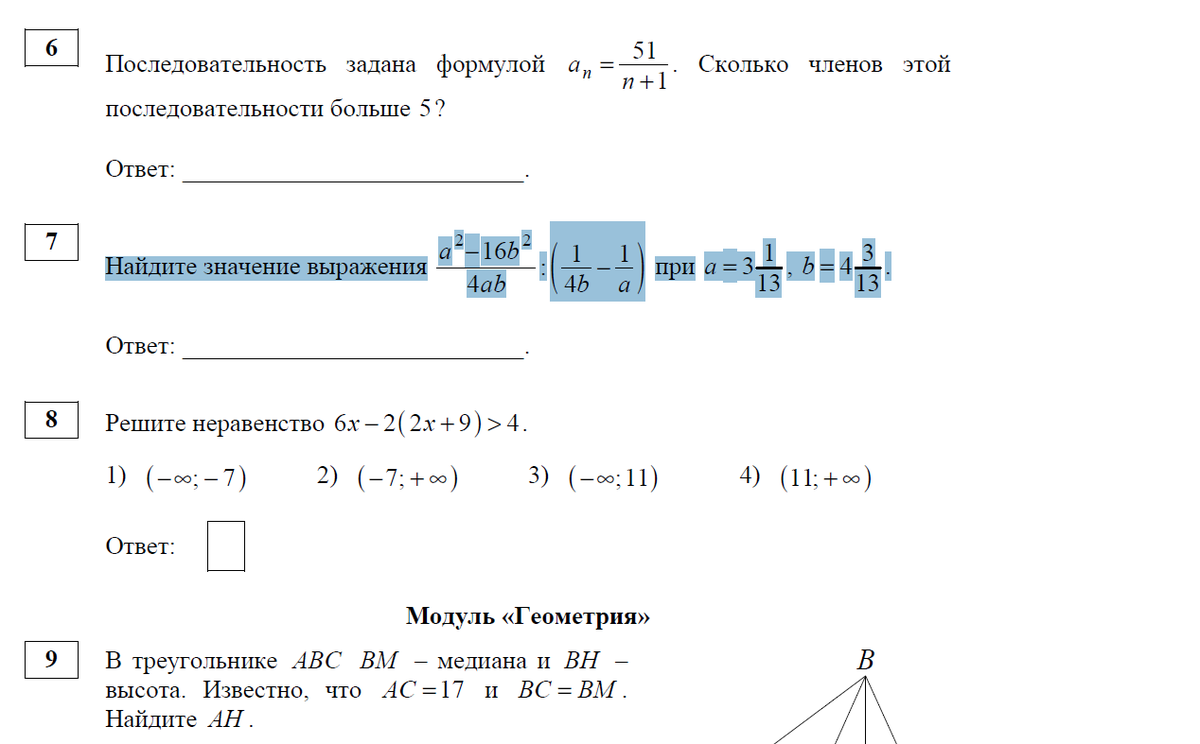
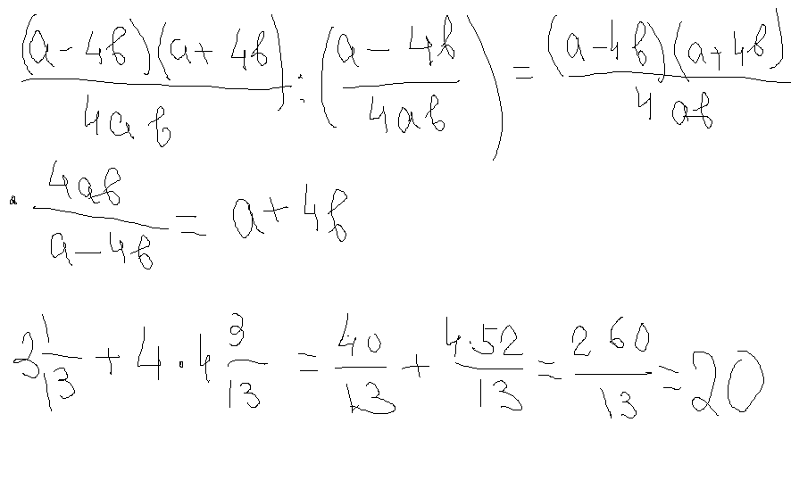
7 номер, пожалуйста.

Приложения:

Ответы

Ответ дал: математик2011
0
........................................................
Приложения:
Ответ дал: NataliKRAV
0
___________________________________
Приложения:
Вас заинтересует