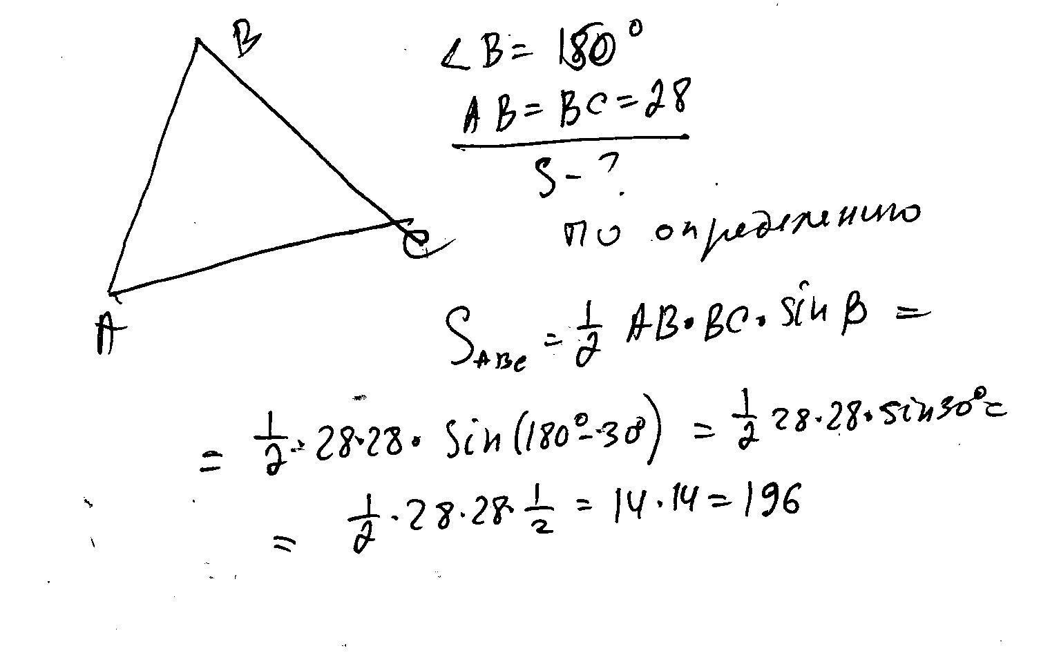
Угол при вершине, противолежащей основанию равнобедренного треугольника, равен 150 гр. Боковая сторона треугольника равна 28. Найдите площадь этого треугольника.
Ответы
Ответ дал:
14
Угол
при вершине, противолежащей основанию равнобедренного
треугольника, равен 150 гр. Боковая сторона треугольника равна 28.
Найдите площадь этого треугольника.
Приложения:

Вас заинтересует
2 года назад
2 года назад
2 года назад
7 лет назад
9 лет назад
9 лет назад