• Предмет: Алгебра
  • Автор: Аноним
  • Вопрос задан 11 лет назад

Помогите решить систему уравнений методом алгебраического сложения:

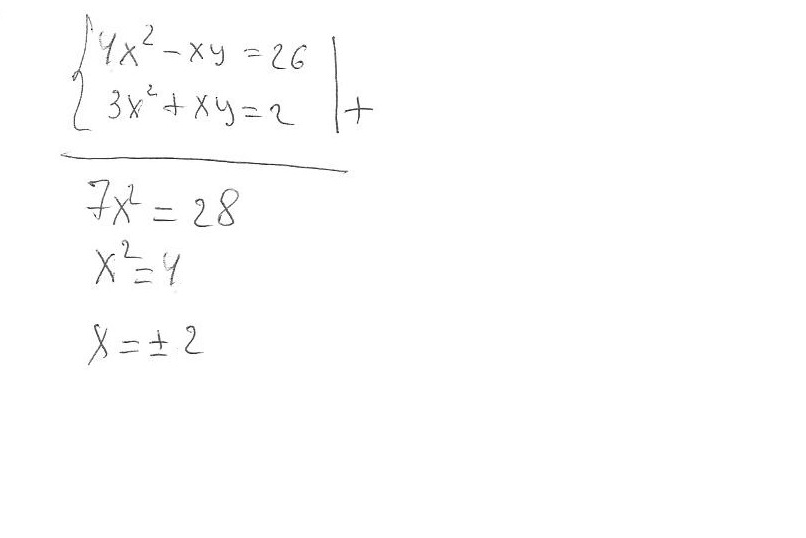
{ 4x^2-xy=26, 3x^2+xy=2 

Ответы

Ответ дал: Tihiro
0

вот как - то так ))))))))))))))))))))

Приложения:
Вас заинтересует