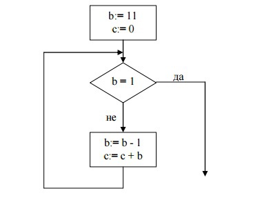
Определите значение переменной с после выполнения фрагмента алгоритма, записанного в виде блок-схемы:
Приложения:
Ответы
Ответ дал:
3
Ну перебираешь цикл пока не получится В = 1...
Ответ: C = 55
Ответ: C = 55
Вас заинтересует
2 года назад
2 года назад
2 года назад
2 года назад
7 лет назад
7 лет назад
9 лет назад
9 лет назад