• Предмет: Математика
  • Автор: dania20141
  • Вопрос задан 3 года назад

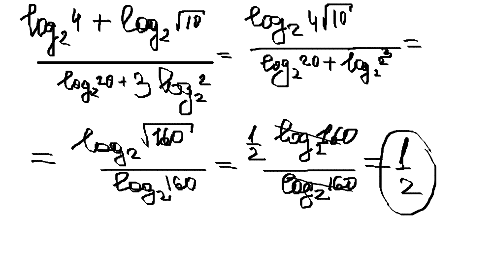
Вычислите log4 по основанию 2+Logкорень из 10 по основанию 2/log20 по основанию 2+3log2по основанию 2

Ответы

Ответ дал: martiemiliya
5
Решение во вложении на фото:)
Приложения:
Вас заинтересует