Пожалуйста, помогите!
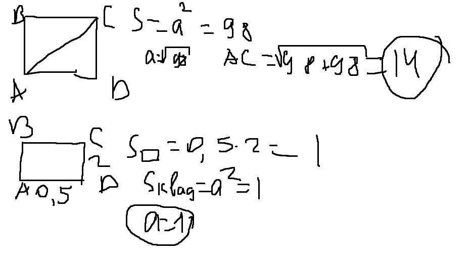
1)Найдите диагональ квадрата. если его площадь равна 98.
2)Найдите сторону квадрата, площадь которого равна площади прямоугольника со сторонами 0,5 и 2.
Ответы
Ответ дал:
2
...........................................
Приложения:
Вас заинтересует
2 года назад
2 года назад
2 года назад
7 лет назад
7 лет назад
9 лет назад
9 лет назад