• Предмет: Физика
  • Автор: Анюта2828
  • Вопрос задан 11 лет назад

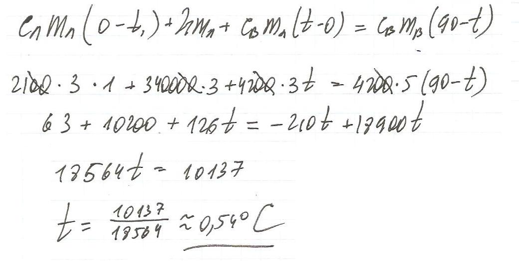
В сосуд содержащий 3 кг льда при температуре -1 градус.влили 5 кг воды при температуре 90 градусов.Какая установилась температура?

Ответы

Ответ дал: Artem112
0

надеюсь будет понятно...

Приложения:
Вас заинтересует