• Предмет: Геометрия
  • Автор: 12dekabra
  • Вопрос задан 11 лет назад

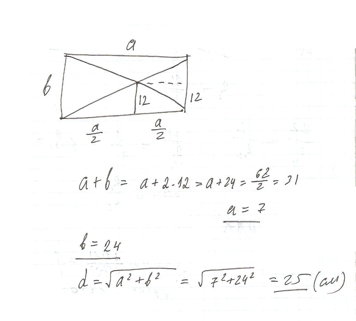
Периметр прямоугольника равен 62 см , а точка пересечения диагоналей удалена от одной из его сторон на 12 см.Найдите длину диагонали прямоугольника

Ответы

Ответ дал: Artem112
0

надеюсь будет понятно...

Приложения:
Вас заинтересует