• Предмет: Математика
  • Автор: dup6531
  • Вопрос задан 2 года назад

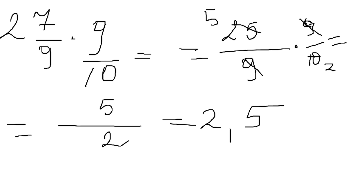
2целых7/9 умножить на 9/10 ровно сколько??

Ответы

Ответ дал: Варан
1
= 25\9 * 9\10=5\2= 2 1\2=2,5
Ответ дал: avilika
1
----------------------------------------------
вложение.
Приложения:
Вас заинтересует