• Предмет: Алгебра
  • Автор: шшшшш
  • Вопрос задан 11 лет назад

Вариант 2

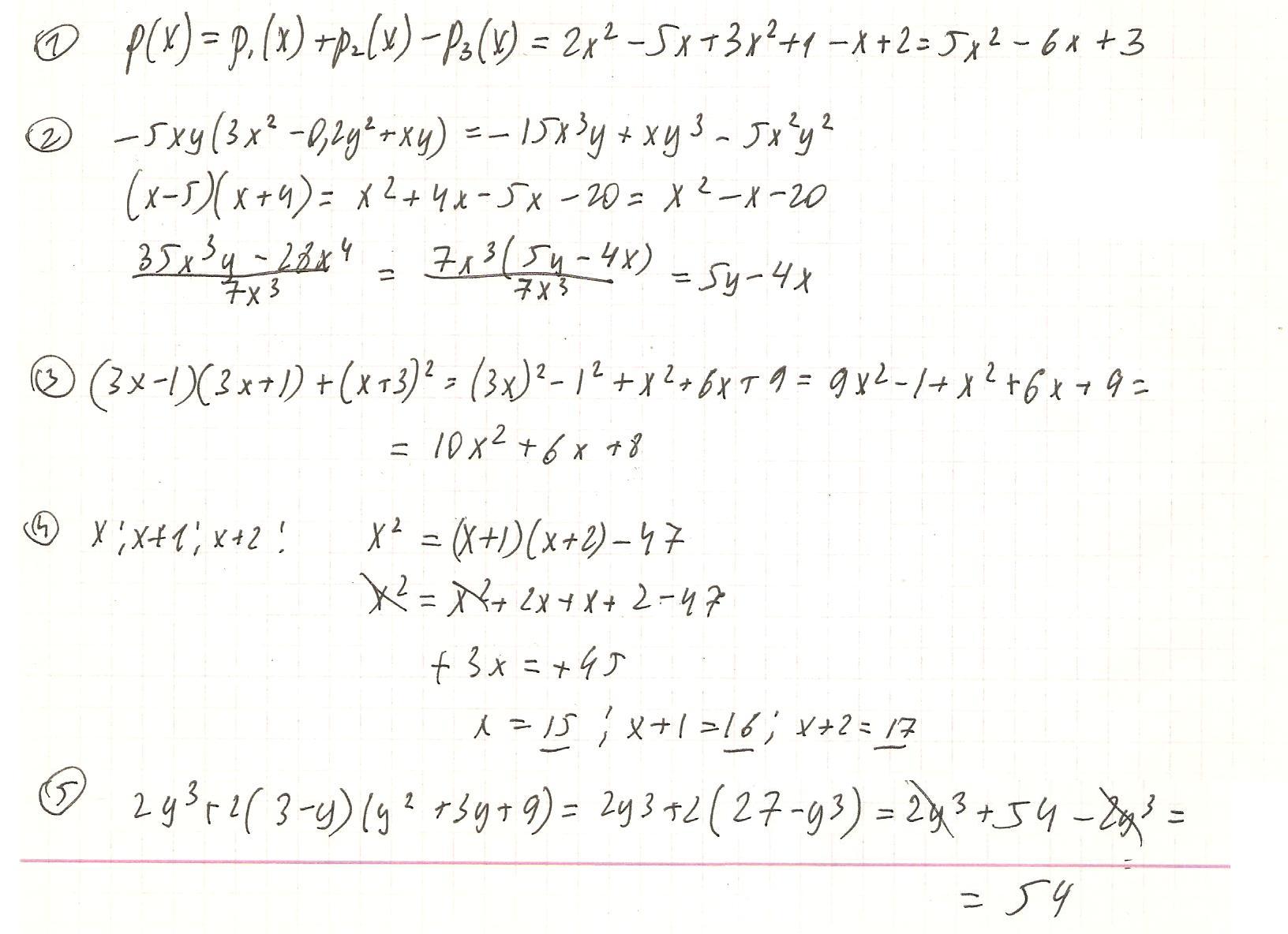
1 Составте многочлен  р(х)  и запишите его в стандартном виде, если р(х) = р1(х) + р2(х) – р3(х),   где

             р1(х) = 2х2 - 5х;   р2(х) = 3х2 + 1;     р3(х) = х – 2.

 

 2 Преобразуйте выражение в многочлен стандартного вида:

          а) -5ху(3х2 - 0,2у2 + ху);   б) (х - 5)(х + 4);     в) (35х3у - 28х4): 7х3.

 3  Упростите выражение, применяя формулы сокращенного умножения:

             (3х - 1)(3х + 1) + (х + 3)2

 4 Найдите три последовательных натуральных числа, если известно, что квадрат меньшего из них на 47 меньше произведения двух других.

 5 Докажите, что значение выражения  2у3 + 2(3 - у)(у2 + 3у + 9) не зависит от значения переменной.

Ответы

Ответ дал: Artem112
0

надеюсь будет понятно...

Приложения:
Ответ дал: rokfeller007
0

1)p(x)=(2x^2-5x)+(3x^2+1)-(x-2)=5x^2-6x+3

 

 

2)

 а) -5ху(3х^2 - 0,2у^2 + ху)=-15^3y+xy^3-5x^2y^2

б) (х - 5)(х + 4)=x^2+4x-5x-20=x^2-x-20

в) (35х^3у - 28х^4): 7х^3=(7x^3(5у - 4х): 7х^3=5y-4x

 

 

3)  (3х - 1)(3х + 1) + (х + 3)^2=(3x)^2-1^2+x^2+6x+9=10x^2+6x+8

 

 

4)

x-1;x;x+1 -числа

(x-1)^2+47=x(x+1)

x^2-2x+1+47=x^2+x

-3x=-48

x=16 -второе число

x-1=16-1=15 -первое число

x+1=16+1=17 -третье число

 

 

5)

2у^3 + 2(3 - у)(у^2 + 3у + 9) =2y^3+(6-2y)(y^2+3y+9)=2y^3+(54-2y^3)=54 

Приложения:
Вас заинтересует