• Предмет: Физика
  • Автор: Игорь888
  • Вопрос задан 11 лет назад

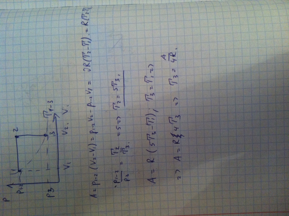
Один моль идеального газа сначала изобарно 1-2 расширился, а затем с ним был проведен изохорный процесс 2-3. При этом газом совершена работа 13,3 кДж. Отношение давлений в состояниях 2 и 3 задано P2/P3=5. Известно, что температура в конечном состоянии 3 равна температуре в состоянии 1. Определите эту температуру в кельвинах. R=8,31Дж/(моль⋅К)

С решением!!!!

Ответы

Ответ дал: artemFIZTEH
0

тут, правда, как и в решении другой задачи-итоговая формула, щас еще попробую решить ту с перпендикулярным полетом, я ее решал, вот только сейчас осенило, что возможно неправильно

Приложения:
Вас заинтересует