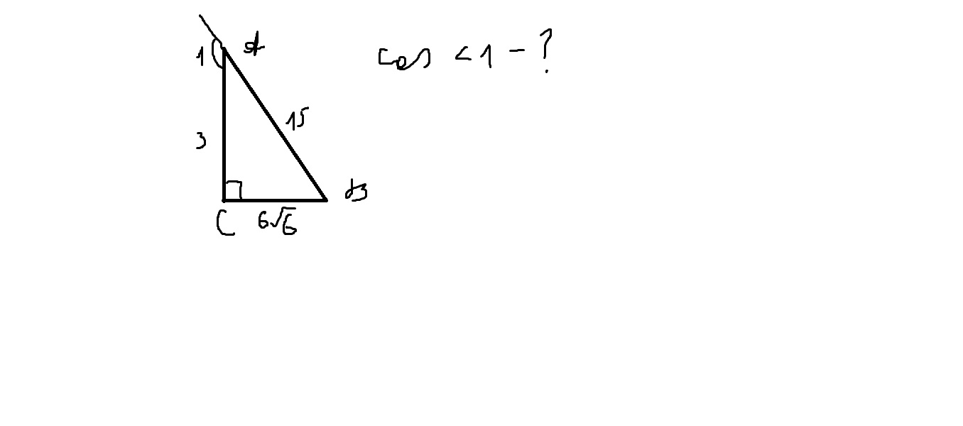
в треугольнике abc угол с =90, ac=3, bc= 6 корней из 6, найдите косинус внешнего угла при вершине а
Ответы
Ответ дал:
0
Вот решение..........................
Приложения:

Ответ дал:
0
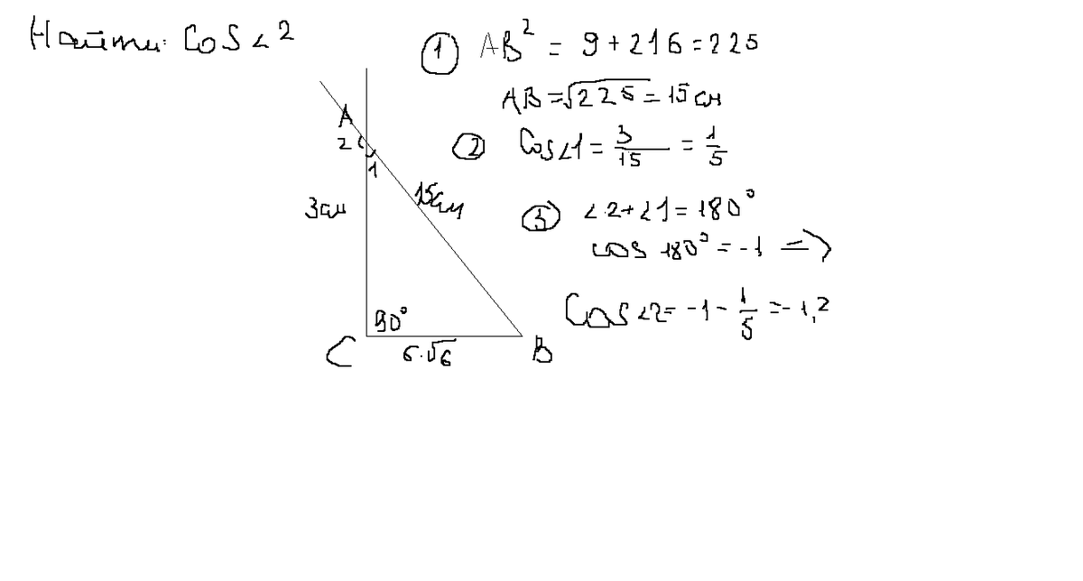
Сначала найдём косинус <A.
cos <A = AC / AB. Найдём гипотенузу AB по теореме Пифагора.
AB = √(3²+(6√6)²) = √(9 + 216) = √225 = 15 см
Теперь можно найти косинус угла A.
cos <A = 3 / 15 = 1/5 = 0.2
<1 и <A - смежные, а косинусы смежных угло противоположны по знаку.
Поэтому,
cos <1 = -0.2
Полученное значение входит в отрезок [-1;1] - других значений быть не может, значит мы всё рассчитали верно. Если бы значение косинуса угла выходило бы за этот отрезок, то это указывало бы на ошибку.
Приложения:

Вас заинтересует
2 года назад
8 лет назад
8 лет назад
10 лет назад
10 лет назад