• Предмет: Геометрия
  • Автор: Alex2043
  • Вопрос задан 11 лет назад

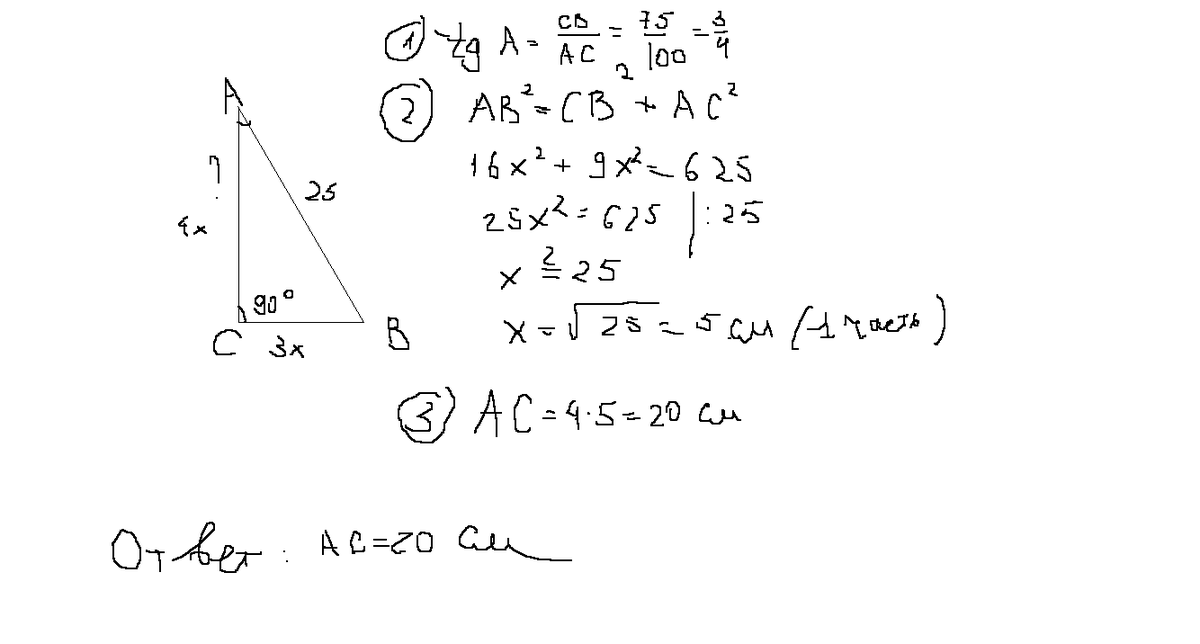
в треугольнике abc угол c равен 90 АВ=25 tg A=0.75 найти АС

Ответы

Ответ дал: Boris77777
0

Смотри.........................

Приложения:
Вас заинтересует