• Предмет: Математика
  • Автор: nikssm
  • Вопрос задан 11 лет назад

сумма двух чисел 76,а разница 28.найдите эти числа

Ответы

Ответ дал: Boris77777
0

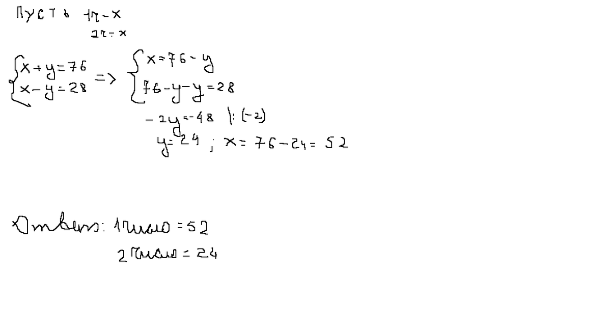
Вот смотри............

Приложения:
Ответ дал: Artem112
0

a+b=76

a-b=28

2a=104

a=52

52+b=76

b=76-52=24

Ответ: 24 и 52

Приложения:
Вас заинтересует