• Предмет: Физика
  • Автор: лампочка5
  • Вопрос задан 11 лет назад

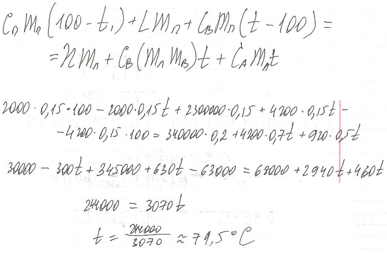
В алюминиевую кастрюлю массой 500 г, в которой находится 0,5 л воды и 200 г снега при 0˚С, впускают 150 г водяного пара при температуре 120˚С. Принимая теплоёмкость пара равной 2 кДж/(кг*˚С), найдите установившуюся в системе температуру.

Ответы

Ответ дал: Artem112
0

ответ еще зависит от табличных данных: теплоемкость воды, удельные теплота плоавления льда, парообразования воды и т. д.

Приложения:
Вас заинтересует