• Предмет: Алгебра
  • Автор: MrMikelson
  • Вопрос задан 3 года назад

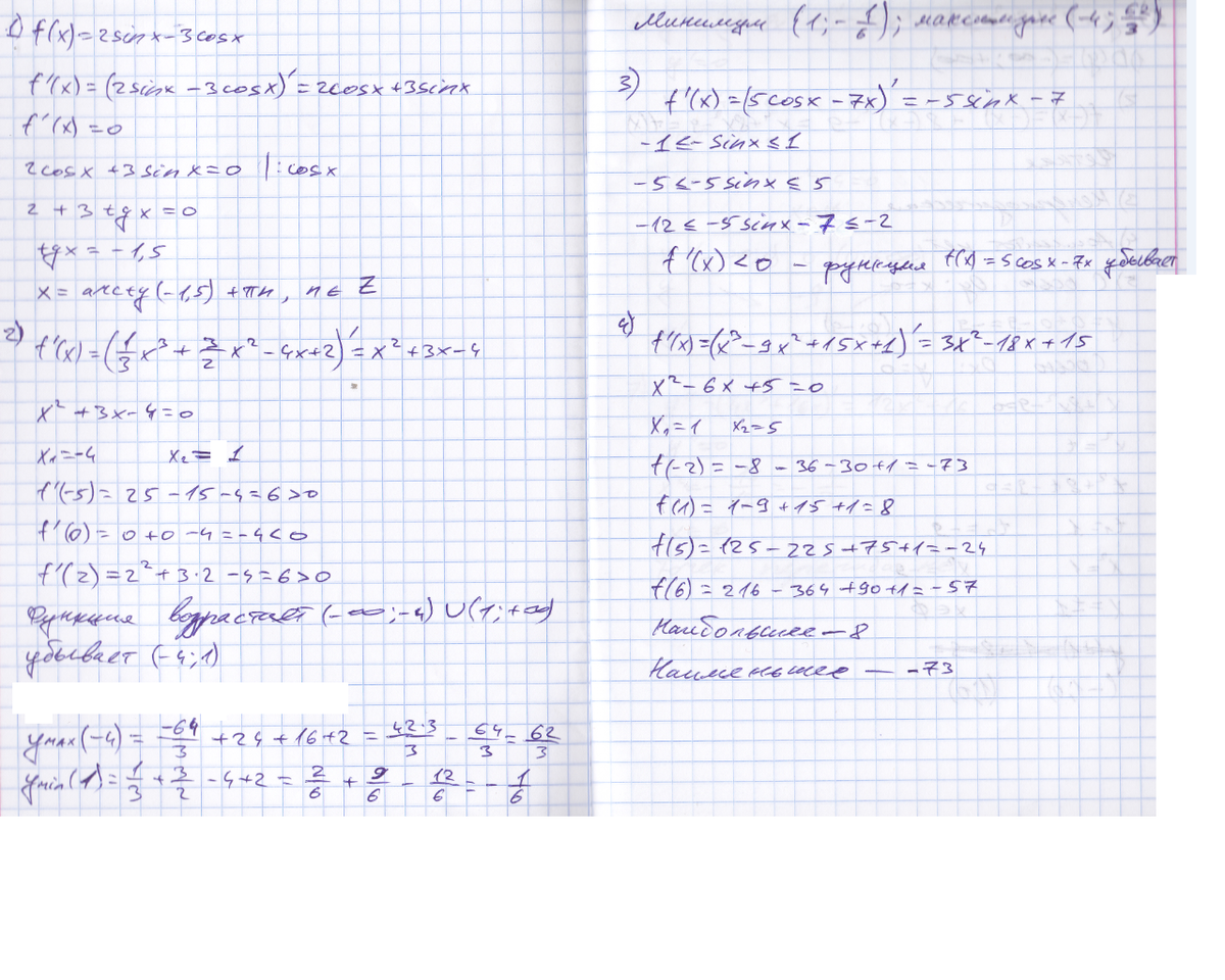
1. Найдите стационарные точки функции f(x)=2sinx-3cosx
2. Докажите, что функция f(x)=5cosx-7x убывает на всей числовой прямой
3. Найдите наибольшее и наименьшее значение функции f(x)=x³-9x²+15x+1 на отрезке [-2;6]
4. Число 300 разбейте на три слагаемых так, чтобы два из них относились как 2:3, а произведение трех слагаемых было наибольшим.

Ответы

Ответ дал: nikee207
6
..............................................................
Приложения:

MrMikelson: А 5 задание и 6 есть ?
nikee207: Эммм братан я работаю над этим
MrMikelson: А ок
Вас заинтересует