• Предмет: Геометрия
  • Автор: saventii
  • Вопрос задан 11 лет назад

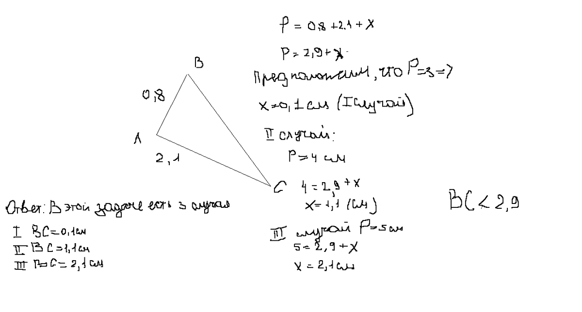
одна сторона треугольника равна 0,8м другая сторона 2,1м чему равна третья сторона если периметр выражен целым числом

объясните решение пожалуйста

Ответы

Ответ дал: Boris77777
0

Вот смотри....................

Приложения:
Ответ дал: Hrisula
0

Сумма двух сторон треугольника не может быть равна или меньше длины его третьей стороны.


Следовательно, третья сторона не может быть равна или больше суммы двух других, т.е. х ≨ 2,9
В то же время сумма третьей и одной из двух сторон не может быть меньше оставшейся стороны.
Пусть периметр треугольника
(0,8+2,1)+х=2,9+х
Тогда
0,8+х > 2,1
2,1+х > 2,9

До целого числа периметру треугольника недостает:

1).

0,1 м 

 Третья сторона не может быть такой длины.
..........Иначе сумма сторон 0,8+0,1=0,9, а оставшаяся сторона 2,1 больше, чем 0,9
2).

1,1 м

......сумма  сторон 0,8+1,1=1,9, а оставшаяся сторона 2,1 > 1,9

.....1,1- не подходит
3) 

2,1

.. 0,8+2,1=2,9
Третья сторона этого треугольника может быть только   2,1 м.

Приложения:
Вас заинтересует