Какой объём воздуха вступит в реакцию с CH3OH если выделиться 220 г CO2??? пожалуйста решите , очень нужно
Ответы
Ответ дал:
1
...............................
Приложения:
Маша765:
фото не грузится,удали тогда ответ)))
Ответ дал:
1
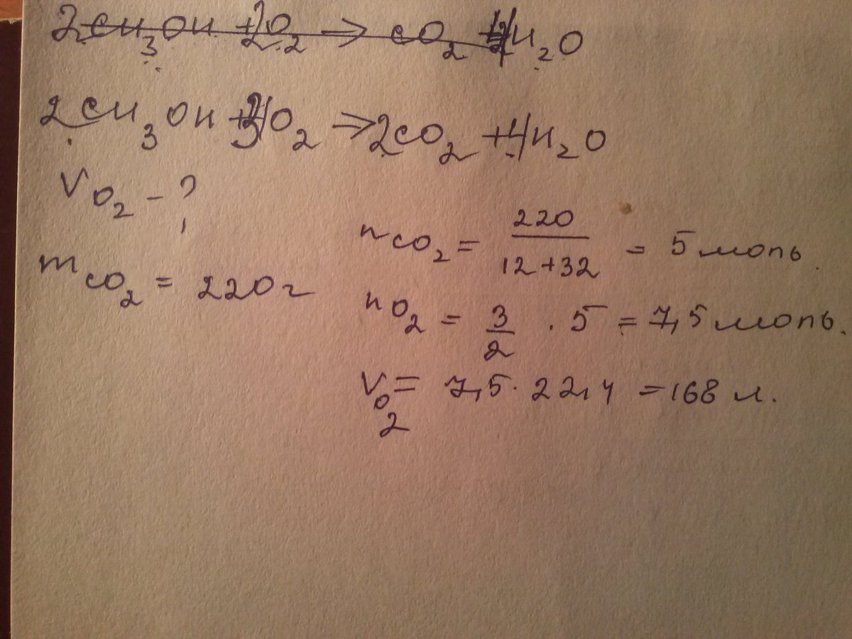
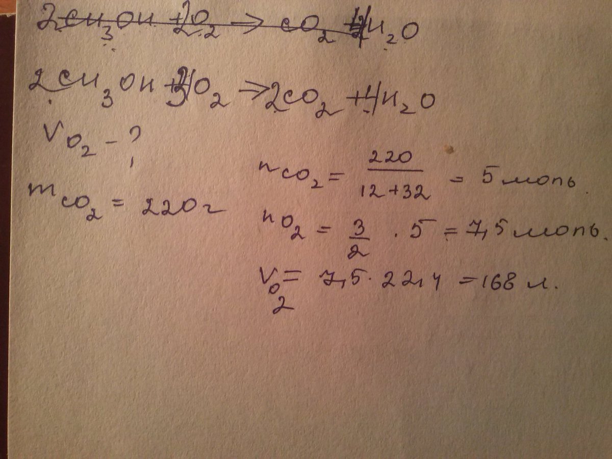
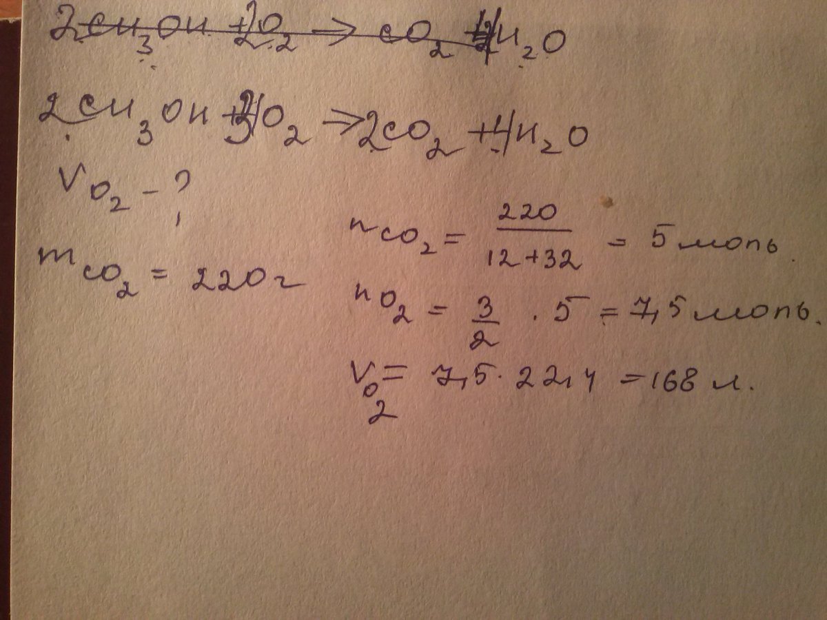
2СH3OH + 3O2 = 2CO2 + 4H2O
M(CO2)=44 г/моль
n(CO2)=220/44=5 моль
n(O2)=3х5/2=7,5 моль
Vm=22,4 л/моль
V(O2)=22,4х7,5=168 л
В воздухе 21% кислорода, отсюда
V(возд)=168х100/21=800 л
M(CO2)=44 г/моль
n(CO2)=220/44=5 моль
n(O2)=3х5/2=7,5 моль
Vm=22,4 л/моль
V(O2)=22,4х7,5=168 л
В воздухе 21% кислорода, отсюда
V(возд)=168х100/21=800 л
Вас заинтересует
2 года назад
2 года назад
7 лет назад
7 лет назад
9 лет назад
9 лет назад