• Предмет: Алгебра
  • Автор: spiman
  • Вопрос задан 11 лет назад

Найдите сумму бесконечно убывающей геометрической прогрессии если b1=2 q=0.875

Ответы

Ответ дал: DIANA101
0

если человек пишет не от руки, это еще не значит, что решение было откуда-то взято

Приложения:
Ответ дал: Аноним
0

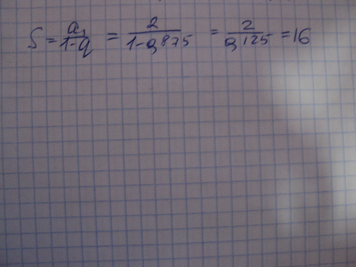
Cумма бесконечно убывающей геометрической прогрессии равна первому члену этой прогрести, деленному на единицу минус знаменатель этой прогрессии.

 

Sn=b1/(1-q)=2/(1-0.875)=2/0.125=16

==============================

Приложения:
Вас заинтересует