Ответы
Ответ дал:
0
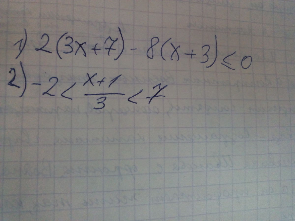
1) 6х+14-8х-24≤0
-2х≤10
х≥-5
Ответ[-5;+∞)
2)-6<x+1<21
-6-1<x<21-1
-7<x<20
Ответ (-∞;-7)
-2х≤10
х≥-5
Ответ[-5;+∞)
2)-6<x+1<21
-6-1<x<21-1
-7<x<20
Ответ (-∞;-7)
Ответ дал:
0
6х+14-8х+24<=0
-2х-10<=0
2х+10=>0
Х=>-5
[-5;+&)
-6<х+1<21
-7<х<20
(-7;20)
-2х-10<=0
2х+10=>0
Х=>-5
[-5;+&)
-6<х+1<21
-7<х<20
(-7;20)
Вас заинтересует
2 года назад
2 года назад
2 года назад
7 лет назад
7 лет назад
9 лет назад