• Предмет: Алгебра
  • Автор: Alerkus
  • Вопрос задан 3 года назад

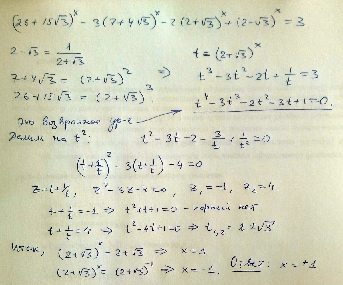
10 БАЛЛОВ! Показательные уравнения.
Вот такую фигню нам задают на дом, ничего не объяснив:(

Приложения:

Ответы

Ответ дал: Denik777
2
Да ничего тут такого сильно ужасного...
Приложения:

Alerkus: Спасибо огромное. И правда, оказывается не так сложно:)
Вас заинтересует