• Предмет: Алгебра
  • Автор: marinka31
  • Вопрос задан 3 года назад

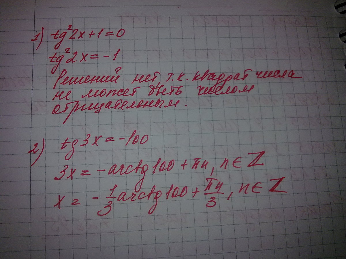
Уравнения tg²2x+1=0 и tg3x=-100 имеют решения?

Ответы

Ответ дал: Rechnung
1
Решение в приложении
..........................................
Приложения:

marinka31: спасибо,скажите пожалуйста тогда 1/cosx=1/3 имеет решения?
Rechnung: Нет, т.к. |cosx| <=1, 3>1
marinka31: спасибо большое
Вас заинтересует