Ответы
Ответ дал:
1
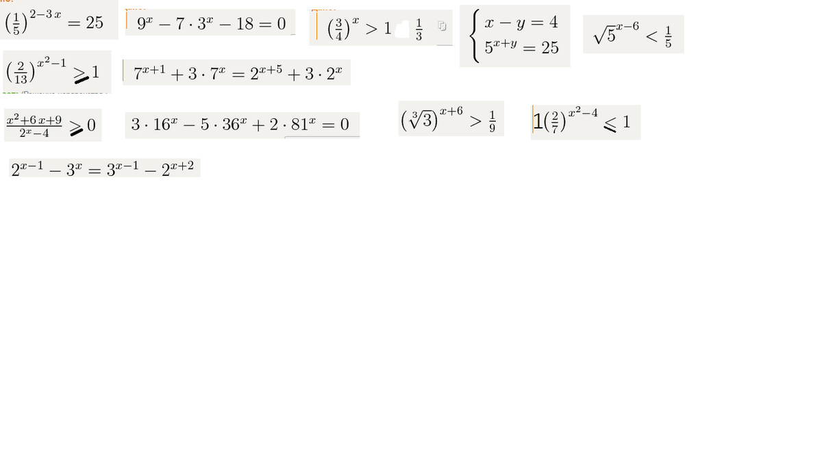
1) (1/5)^(2-3x)=25
5^(-2+3x)=5²
-2+3x=2
3x=4
x=4/3
x=1 ¹/3
Ответ: 1 ¹/3
2) 9^x - 7*3^x -18=0
3^2x - 7*3^x -18=0
Пусть у=3^x
y²-7y-18=0
D=49+4*18=49+72=121
y₁=7-11=-2
2
y₂=7+11=9
2
При у=-2:
3^x=-2
нет решений.
При у=9
3^x=9
3^x=3²
x=2
Ответ: 2.
3) 7^(x+1)+3*7^x=2^(x+5)+3*2^x
7^x * 7 +3 * 7^x=2^x * 2⁵ + 3*2^x
7^x(7+3)=2^x(2⁵+3)
7^x * 10=2^x * 35
7^x = 35
2^x 10
3.5^x=3.5
3.5^x=3.5¹
x=1
Ответ: 1.
4) 3*16^x - 5*36^x + 2*81^x=0
3*4^2x - 5*4^x*9^x +2*9^2x=0
3*4^2x - 5*4^x*9^x + 2*9^2x = 0
4^x*9^x 4^x*9^x 4^x*9^x 4^x*9^x
3*4^x - 5 + 2*9^x =0
9^x 4^x
Пусть y=4^x, тогда 1 = 9^x
9^x y 4^x
3y-5+2 =0
y
3y²-5y+2=0
D=25-4*3*2=25-24=1
y₁=5-1= 4 = 2
6 6 3
y₂=5+1=1
6
При у=2
3
4^x = 2
9^x 3
2^2x = 2
3^2x 3
2x=1
x=0.5
При у=1
4^x=1
9^x
4^x = 4⁰
9^x 9⁰
x=0
Ответ: 0; 0,5.
5) 2^(x-1) -3^x=3^(x-1) -2^(x+2)
2^(x-1) +2^(x+2)=3^(x-1)+3^x
2^x(2⁻¹+2²)=3^x(3⁻¹+1)
2^x * 4.5 = 3^x * 1 ¹/₃
2^x = 4 : 9
3^x 3 2
2^x = 2³
3^x 3³
x=3
Ответ: 3
6) {x-y=4
{5^(x+y)=25
{x-y=4
{5^(x+y)=5²
{x-y=4
{x+y=2
Складываем уравнения системы:
2х=6
х=3
3+у=2
у=-1
Ответ: х=3
у=-1
7) (2/13)^(x²-1)≥1
(2/13)^(x²-1)≥(2/13)⁰
Так как 0 < 2/13 <1, то
х²-1≤0
(х-1)(х+1)≤0
х=1 х=-1
+ - +
-------- -1 ----------- 1 ----------
\\\\\\\\\\\\
х∈[-1; 1]
Ответ: [-1; 1]
8) (3/4)^x > 1 ¹/3
(3/4)^x > 4/3
(3/4)^x > (3/4)⁻¹
Так 0 <3/4<1, то
x<-1
Ответ: (-∞; -1)
9) (√5)^(x-6) < 1/5
5^(0.5x-3) < 5⁻¹
0.5x-3<-1
0.5x<-1+3
0.5x<2
x<4
Ответ: (-∞; 4)
10) (∛3)^(x+6)>1/9
3^((x+6)/3)>9⁻¹
3^((x+6)/3)>3⁻²
x+6 >-2
3
x+6>-6
x>-6-6
x>-12
Ответ: (-12; +∞)
11) (1 ²/₇)^(x²-4) ≤1
(9/7)^(x²-4) ≤(9/7)⁰
x²-4≤0
(x-2)(x+2)≤0
x=2 x=-2
+ - +
--------- -2 ---------- 2 ---------
\\\\\\\\\\\\
x∈[-2; 2]
Ответ: [-2; 2]
12) х²+6х+9 ≥0
2^x - 4
(x+3)² ≥0
(2^x)-4
(x+3)²≥0 при любых х.
(2^x)-4>0
2^x>4
2^x>2²
x>2
Ответ: (2; +∞)
5^(-2+3x)=5²
-2+3x=2
3x=4
x=4/3
x=1 ¹/3
Ответ: 1 ¹/3
2) 9^x - 7*3^x -18=0
3^2x - 7*3^x -18=0
Пусть у=3^x
y²-7y-18=0
D=49+4*18=49+72=121
y₁=7-11=-2
2
y₂=7+11=9
2
При у=-2:
3^x=-2
нет решений.
При у=9
3^x=9
3^x=3²
x=2
Ответ: 2.
3) 7^(x+1)+3*7^x=2^(x+5)+3*2^x
7^x * 7 +3 * 7^x=2^x * 2⁵ + 3*2^x
7^x(7+3)=2^x(2⁵+3)
7^x * 10=2^x * 35
7^x = 35
2^x 10
3.5^x=3.5
3.5^x=3.5¹
x=1
Ответ: 1.
4) 3*16^x - 5*36^x + 2*81^x=0
3*4^2x - 5*4^x*9^x +2*9^2x=0
3*4^2x - 5*4^x*9^x + 2*9^2x = 0
4^x*9^x 4^x*9^x 4^x*9^x 4^x*9^x
3*4^x - 5 + 2*9^x =0
9^x 4^x
Пусть y=4^x, тогда 1 = 9^x
9^x y 4^x
3y-5+2 =0
y
3y²-5y+2=0
D=25-4*3*2=25-24=1
y₁=5-1= 4 = 2
6 6 3
y₂=5+1=1
6
При у=2
3
4^x = 2
9^x 3
2^2x = 2
3^2x 3
2x=1
x=0.5
При у=1
4^x=1
9^x
4^x = 4⁰
9^x 9⁰
x=0
Ответ: 0; 0,5.
5) 2^(x-1) -3^x=3^(x-1) -2^(x+2)
2^(x-1) +2^(x+2)=3^(x-1)+3^x
2^x(2⁻¹+2²)=3^x(3⁻¹+1)
2^x * 4.5 = 3^x * 1 ¹/₃
2^x = 4 : 9
3^x 3 2
2^x = 2³
3^x 3³
x=3
Ответ: 3
6) {x-y=4
{5^(x+y)=25
{x-y=4
{5^(x+y)=5²
{x-y=4
{x+y=2
Складываем уравнения системы:
2х=6
х=3
3+у=2
у=-1
Ответ: х=3
у=-1
7) (2/13)^(x²-1)≥1
(2/13)^(x²-1)≥(2/13)⁰
Так как 0 < 2/13 <1, то
х²-1≤0
(х-1)(х+1)≤0
х=1 х=-1
+ - +
-------- -1 ----------- 1 ----------
\\\\\\\\\\\\
х∈[-1; 1]
Ответ: [-1; 1]
8) (3/4)^x > 1 ¹/3
(3/4)^x > 4/3
(3/4)^x > (3/4)⁻¹
Так 0 <3/4<1, то
x<-1
Ответ: (-∞; -1)
9) (√5)^(x-6) < 1/5
5^(0.5x-3) < 5⁻¹
0.5x-3<-1
0.5x<-1+3
0.5x<2
x<4
Ответ: (-∞; 4)
10) (∛3)^(x+6)>1/9
3^((x+6)/3)>9⁻¹
3^((x+6)/3)>3⁻²
x+6 >-2
3
x+6>-6
x>-6-6
x>-12
Ответ: (-12; +∞)
11) (1 ²/₇)^(x²-4) ≤1
(9/7)^(x²-4) ≤(9/7)⁰
x²-4≤0
(x-2)(x+2)≤0
x=2 x=-2
+ - +
--------- -2 ---------- 2 ---------
\\\\\\\\\\\\
x∈[-2; 2]
Ответ: [-2; 2]
12) х²+6х+9 ≥0
2^x - 4
(x+3)² ≥0
(2^x)-4
(x+3)²≥0 при любых х.
(2^x)-4>0
2^x>4
2^x>2²
x>2
Ответ: (2; +∞)
Вас заинтересует
2 года назад
2 года назад
2 года назад
2 года назад
7 лет назад
9 лет назад