Ответы
Ответ дал:
0
надеюсь будет понятно....
Приложения:

Ответ дал:
0
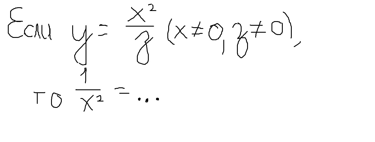
Тогда и
Приложения:

Вас заинтересует
2 года назад
8 лет назад
8 лет назад
10 лет назад
10 лет назад