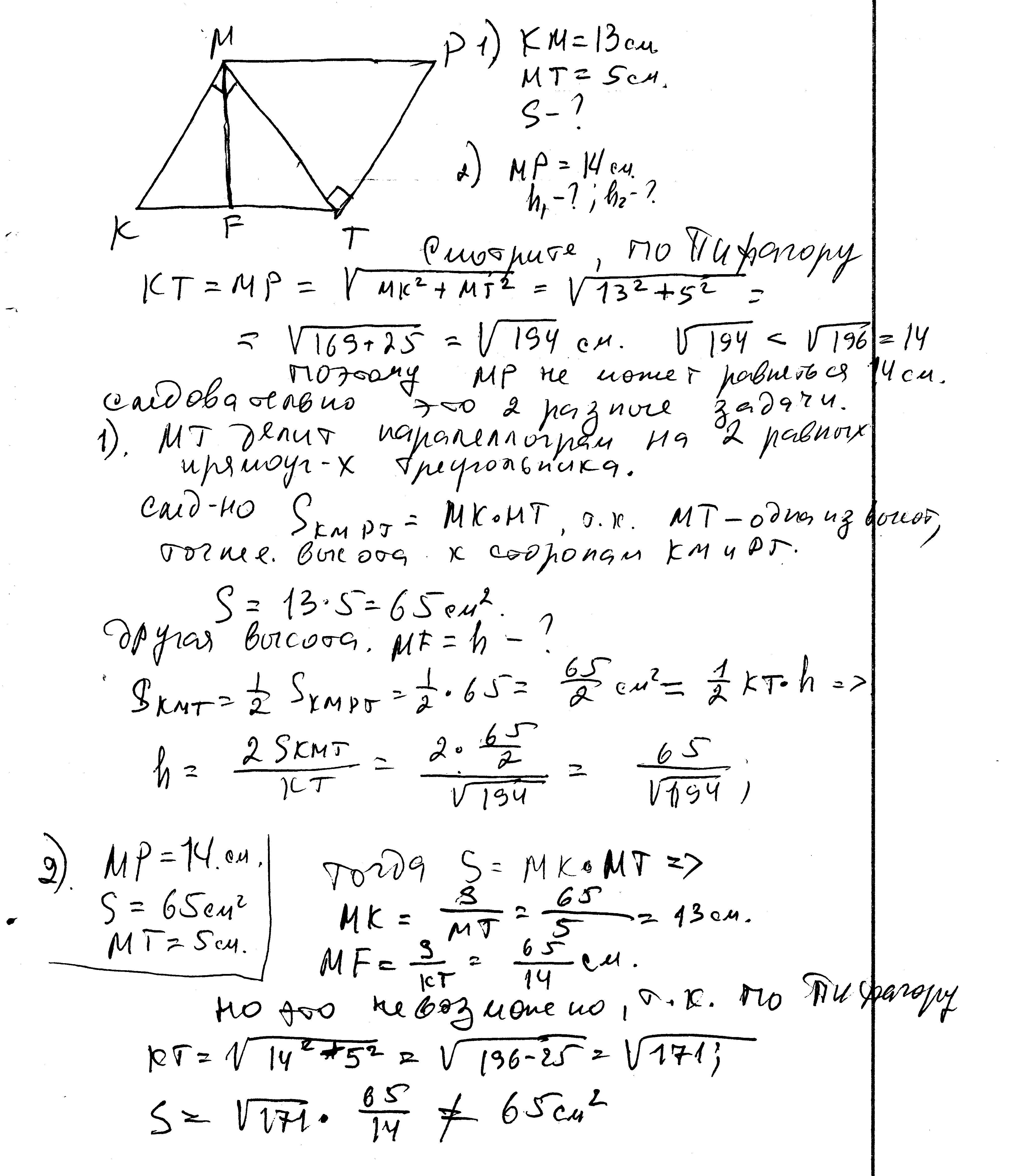
В параллелограмме КМРТ диагональ МТ перпендикулярна стороне МК. КМ=13см,МТ=5см. Найти S параллелограмма и его высоты, если МР=14 см.
Помогите,пожалуйста.Зарание спасибо))
Ответы
Ответ дал:
0
Условие задачи некорректно. Нормального текста не нашел. В интернете в
основном тиражируется решение, данное в майле ру. Оно не полное и
частично неверное. Такой параллелограмм невозможен. В тексте решения
это показано. На первой странице решение с данным условием. Если
считать, что МТ перпендикулярно другой стороне, становится чуть лучше,
но и это условие неверное. Показаны некоторые возможности решения данной
задачи. Это на второй и третьей странице. Выбирайте что по душе. :)
Приложения:



Вас заинтересует
2 года назад
8 лет назад
8 лет назад
10 лет назад