• Предмет: Алгебра
  • Автор: Миланочка1998
  • Вопрос задан 11 лет назад

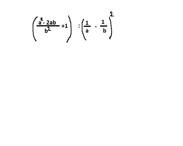
Упростите выражение и найдите его значение при а=3,b= 2 1/7 (две целых одна седьмая)

                                                                                                               

Приложения:

Ответы

Ответ дал: MaxiMilianiMuM
0

1 под знаменатель, и по формуле квадрата разности получаем

((a-b)^2/b^2)/((b-a)/ab)^2=((a-b)^2/(a-b)^2)*(b^2/b^2)*a^2=a^2=3^3=9

ответ: 9

 

 

 

 

Вас заинтересует