Ответы
Ответ дал:
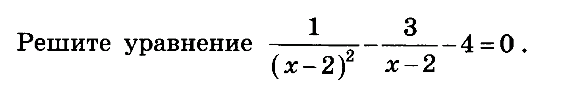
1
1 - 3 - 4 =0
(х-2)² х-2
Общий знаменатель: (х-2)²
х≠2
1-3(х-2)-4(х-2)²=0
1-3х+6-4(х²-4х+4)=0
1-3х+6-4х²+16х-16=0
-4х²+13х-9=0
4х²-13х+9=0
Д=169-4*4*9=169-144=25
х₁=13-5=1
8
х₂=13+5=2,25
8
Ответ: 1; 2,25.
(х-2)² х-2
Общий знаменатель: (х-2)²
х≠2
1-3(х-2)-4(х-2)²=0
1-3х+6-4(х²-4х+4)=0
1-3х+6-4х²+16х-16=0
-4х²+13х-9=0
4х²-13х+9=0
Д=169-4*4*9=169-144=25
х₁=13-5=1
8
х₂=13+5=2,25
8
Ответ: 1; 2,25.
Ответ дал:
1
Приводишь к общему знаменателю. Итого:
1-3(х-2)-4(х-2)²=0
1-3х+6-4(х²-4х+4)=0
1-3х+6-4х²+16х-16=0
-4х²+13х-9=0
4х²-13х+9=0
D=169-144=25
х1=(13+5)/8=2.25
х2=(13-5)/8=1
При этом. в знаменателе не должно быть нуля:
х-2≠0 (х-2)²≠0
х≠2 х≠2
Ответ:х1=2.25;
х2=1.
Все решил, удачи!
1-3(х-2)-4(х-2)²=0
1-3х+6-4(х²-4х+4)=0
1-3х+6-4х²+16х-16=0
-4х²+13х-9=0
4х²-13х+9=0
D=169-144=25
х1=(13+5)/8=2.25
х2=(13-5)/8=1
При этом. в знаменателе не должно быть нуля:
х-2≠0 (х-2)²≠0
х≠2 х≠2
Ответ:х1=2.25;
х2=1.
Все решил, удачи!
Вас заинтересует
2 года назад
2 года назад
7 лет назад
7 лет назад