Ответы
Ответ дал:
0
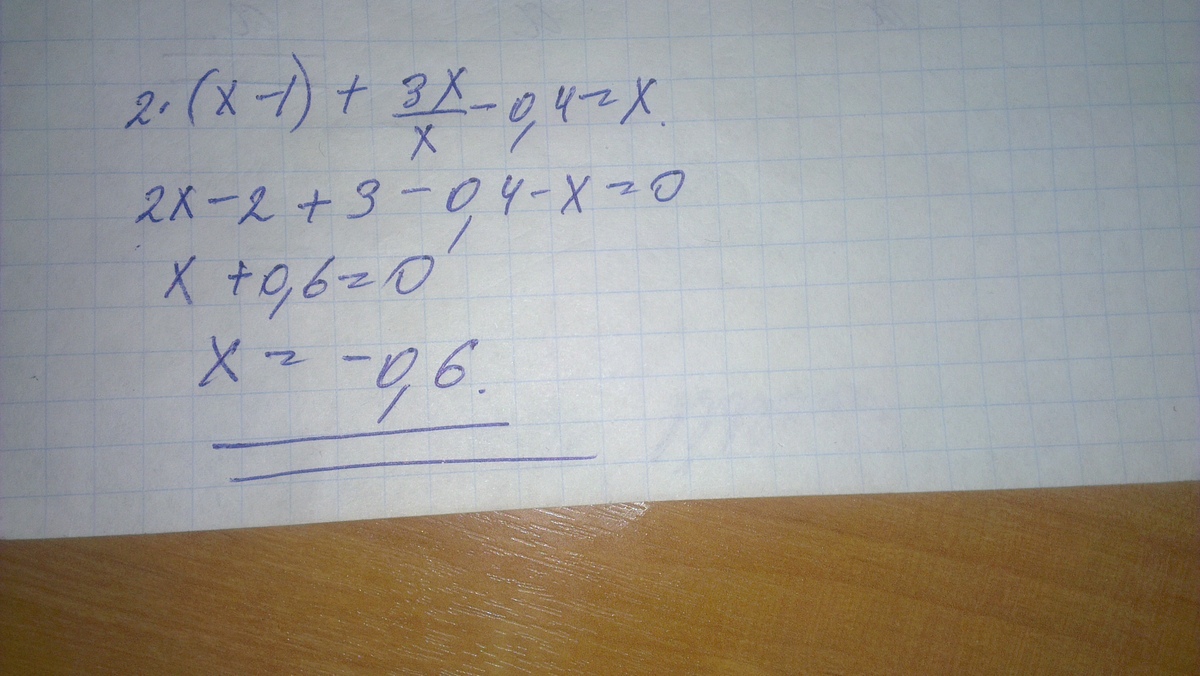
Раскроем скобки:
2x-2+3x/x-0,4=x
Разделим 3x/x:
2x-2+3-0,4=x
Неизвестные в одну, известные в другую(при переносе знак меняем на противоположный):
2x-x=2-3+0,4
x=-0,6
Ответ: -0,6
Ответ дал:
0
Если дробь 3x/x, то все просто, если же 3x/(x-0,4) уравнение не имеет смысла.
Приложения:

Вас заинтересует
2 года назад
2 года назад
8 лет назад
10 лет назад
10 лет назад