Уже третий раз пишу этот пример, у меня баллы заканчиваются. Прошу не проходите мимо, помогите решить!
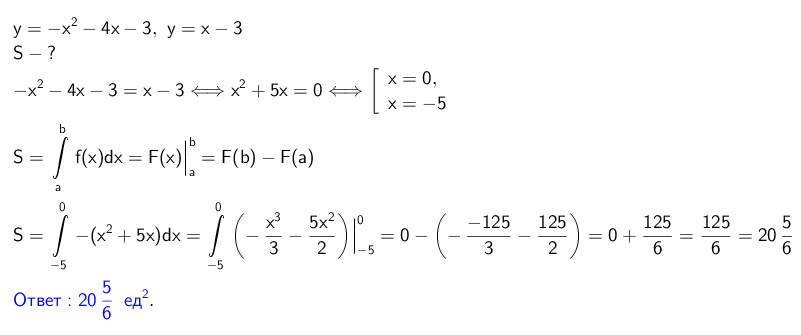
Найдите площадь фигуры ограниченной линиями y=-x^2-4x-3 и y=x-3
Ответы
Ответ дал:
1
Смотрите решение в прикреплённом файле.
Приложения:

Вас заинтересует
2 года назад
2 года назад
2 года назад
7 лет назад
7 лет назад
9 лет назад