• Предмет: Геометрия
  • Автор: Lubychka
  • Вопрос задан 11 лет назад

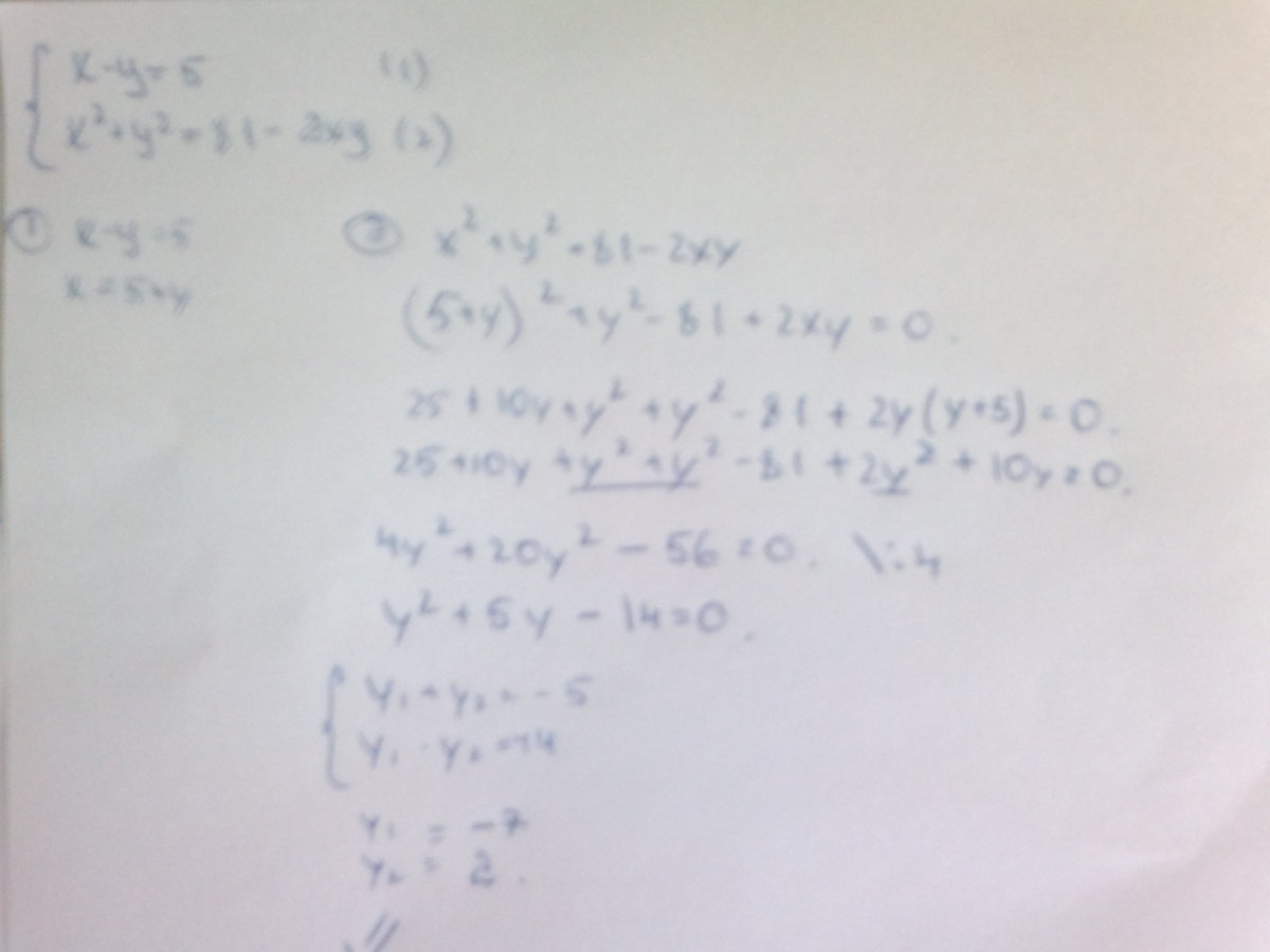
решите систему уравнений 

x-y=5

x^2+y^2= 81-2xy

Ответы

Ответ дал: Vanillka
0

решения приложены с фотографиями))))))))))))))))))))))))))))))))))))))))))))))))))

Приложения:
Вас заинтересует