Упростите выражение:
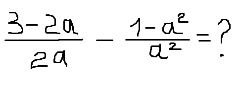
(3 - 2а / 2а) - (1 - а^2 / а^2)
(Во вложении тот же пример, понятней...)
Приложения:

Ответы
Ответ дал:
0
вот. Если не понятно спрашивай
Приложения:

Вас заинтересует
2 года назад
8 лет назад
8 лет назад
10 лет назад
10 лет назад
10 лет назад