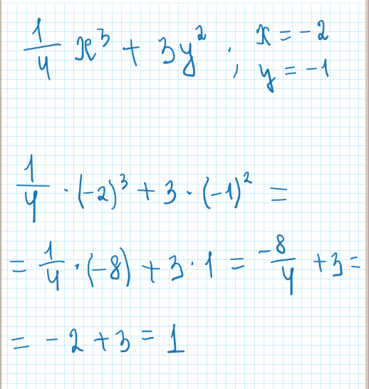
найти значение выражения одна четвертая икс в кубе плюс 3 игрек в квадрате при равно икс равно минус 2 игрек равно минус один
Ответы
Ответ дал:
9
Найти значение выражения
Приложения:

Вас заинтересует
2 года назад
2 года назад
2 года назад
7 лет назад
7 лет назад
9 лет назад
9 лет назад