• Предмет: Алгебра
  • Автор: AriaHimmel
  • Вопрос задан 3 года назад

очень срочно :с.....

Приложения:

Ответы

Ответ дал: ewgenijbark
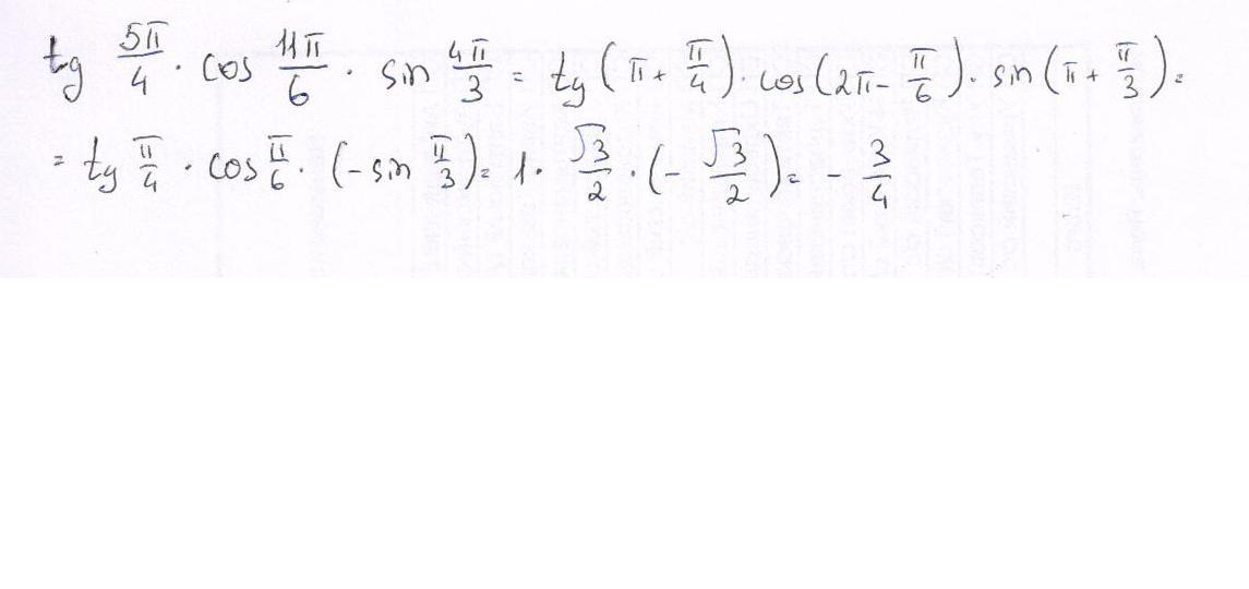
1
см.вложение
-----------------------------
Приложения:
Ответ дал: granny23
1
= tg π/4 * cos π/6* (-sin π/3) = 1*√3/2 *(-√3/2) = -3/4 = -0,75
Вас заинтересует