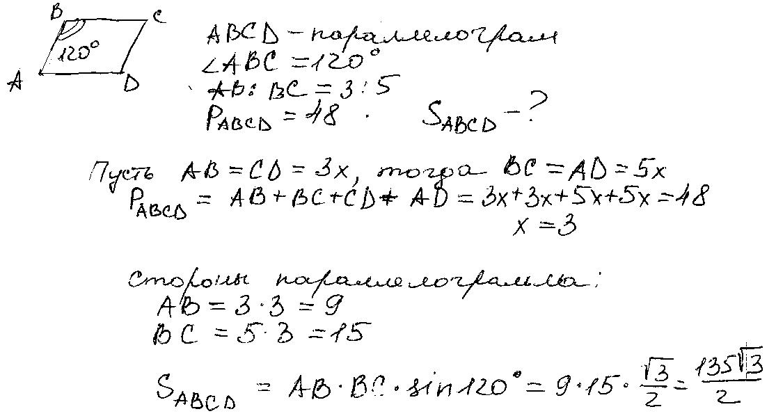
Стороны параллелограмма относятся как 3:5. Найдите площадь параллелограмма, если его периметр равен 48, а один из углов раввен 120 гр.
Ответы
Ответ дал:
0
полное решение во вложении
Приложения:

Вас заинтересует
2 года назад
2 года назад
8 лет назад
8 лет назад
10 лет назад
10 лет назад
10 лет назад