• Предмет: Математика
  • Автор: Аноним
  • Вопрос задан 11 лет назад

1  Укажите верное утверждение.

       а)Произведение отрицательных чисел — отрицательно.

       б)Частное двух отрицатльных чисел меньше нуля.

       в)Произведение положительного и отрицательного чисел — отрицательно.

       г)Частное положительного и отрицательного чисел больше нуля.

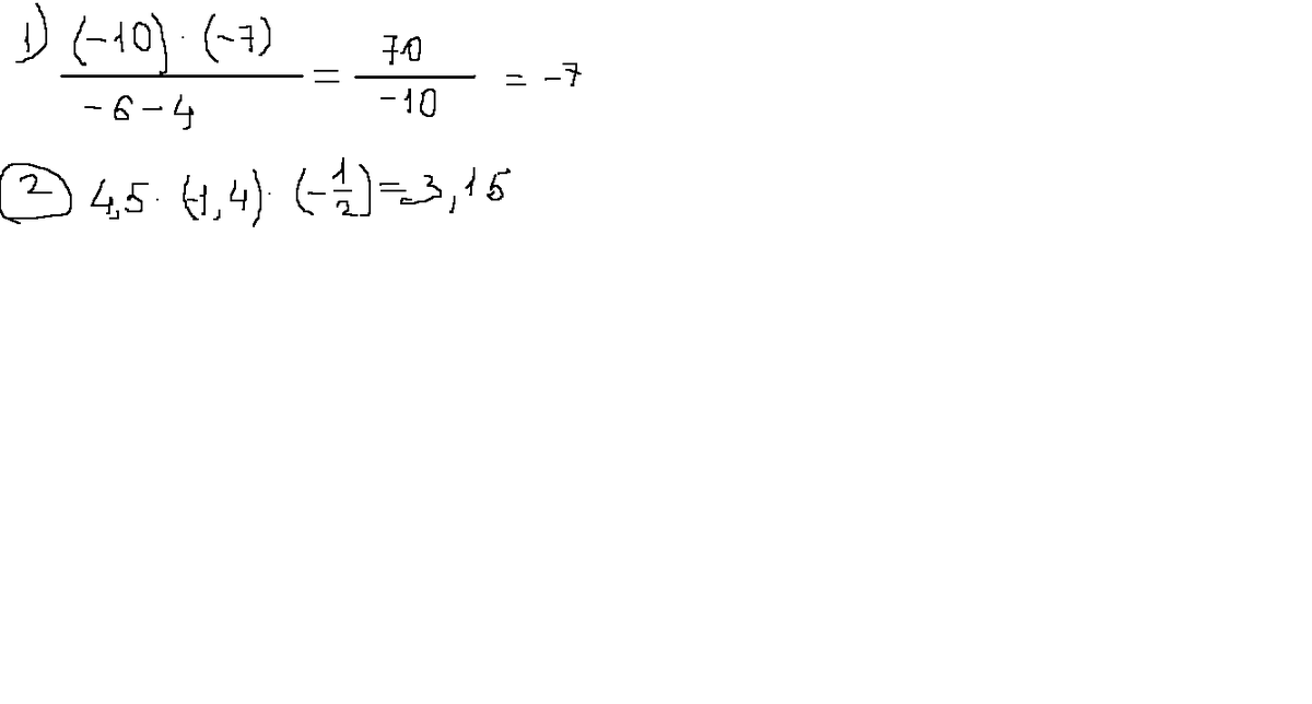
2  найти значение выражений

Приложения:

Ответы

Ответ дал: Boris77777
0

а)-неверно

б)-неверно

в)-верно

г)-неверно

Приложения:
Ответ дал: Серебреникова
0

верно В-произведения положительного и отрицательных чисе........

Приложения:
Вас заинтересует