Ответы
Ответ дал:
0
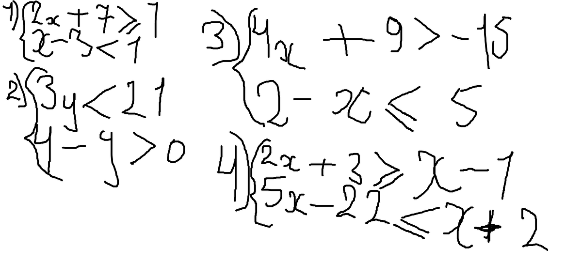
2х+7>=-15
х-3<1
2x>=1-7
x<1+3
2x>=-6
x<4
x>=-3
x<4
чертим координатную прямую и отмечаем точки -3 и 4. От точки -3 штрихи наносим вправо до конца начерченной прямой, а от точки 4 наносим штрихи влево до конца. Пересечение штрихов и есть ответ. [-3;4)
х-3<1
2x>=1-7
x<1+3
2x>=-6
x<4
x>=-3
x<4
чертим координатную прямую и отмечаем точки -3 и 4. От точки -3 штрихи наносим вправо до конца начерченной прямой, а от точки 4 наносим штрихи влево до конца. Пересечение штрихов и есть ответ. [-3;4)
Вас заинтересует
2 года назад
2 года назад
7 лет назад
9 лет назад