Помогите пожалуйста. Очень срочно
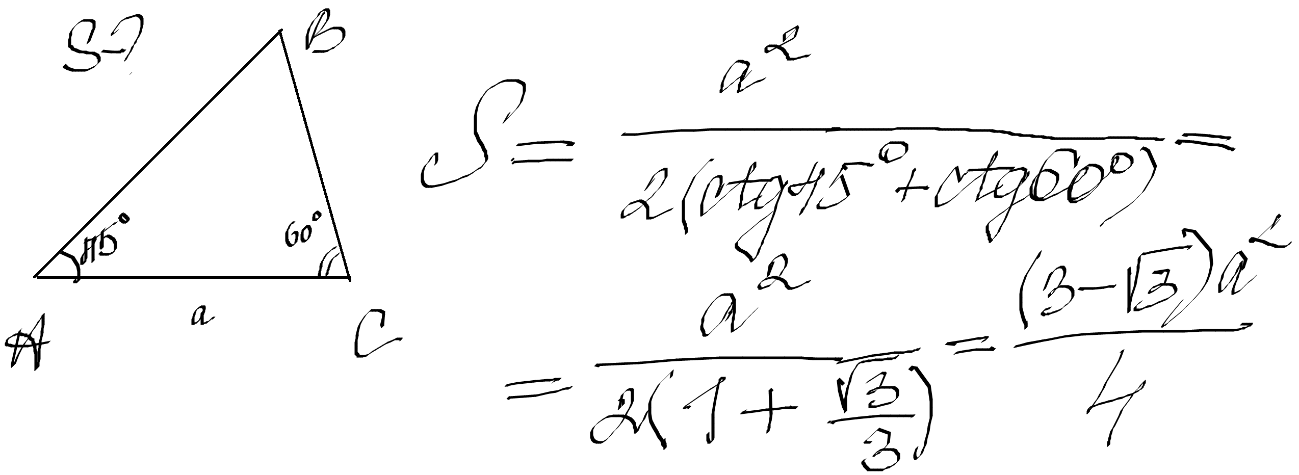
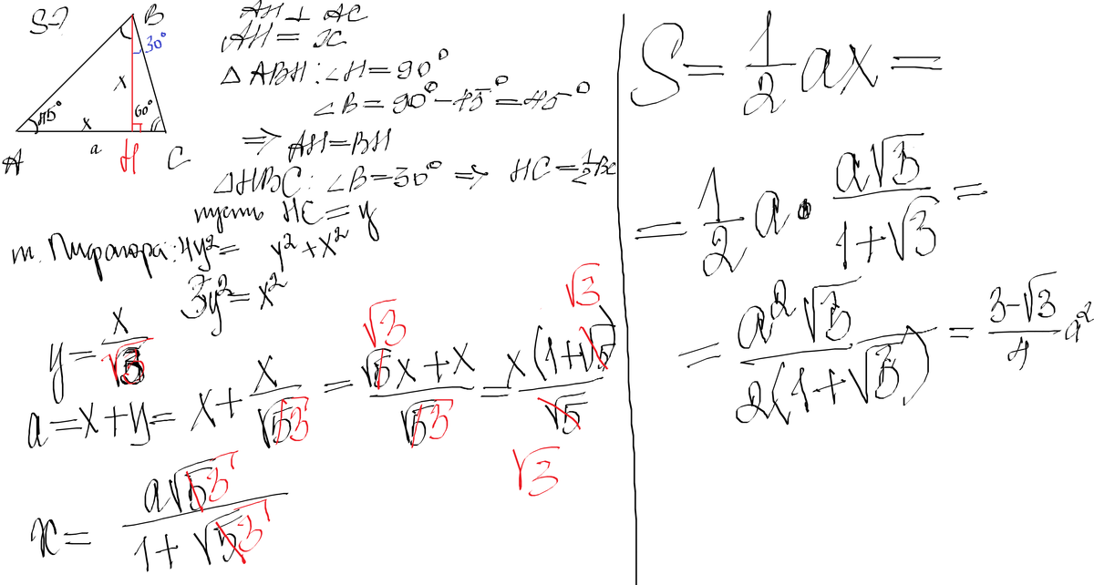
1. в прямоугольном треугольнике abc с гипотенузой ab катет bc =a лежит против угла 15 градусов. Найдите длину второго катета
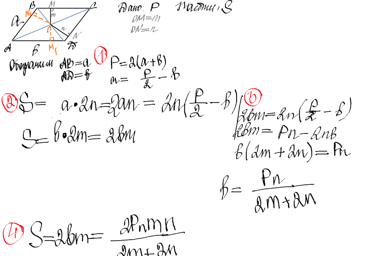
2. Диагонали трапеции пересекаются под прямым углом.
Докажите, что сумма оснований равна произведению диагоналей, деленному на удвоенную высоту.
Ответы
Ответ дал:
0
йцукенгшдлрпавыапроцвпрго решения во вложении
Приложения:



Вас заинтересует
2 года назад
2 года назад
10 лет назад
10 лет назад