• Предмет: Математика
  • Автор: katyamel
  • Вопрос задан 11 лет назад

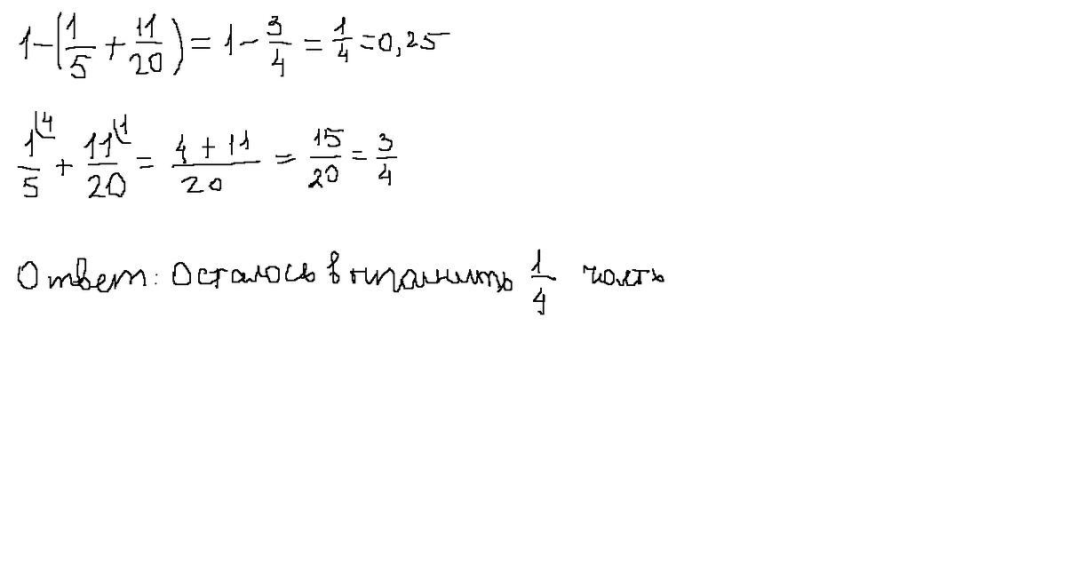
за одну неделю бригада выполнила одну пятую, за вторую неделю одиннадцать двадцатых всей работы по строительству дома. какую часть работы осталось выполнить бригаде?

Ответы

Ответ дал: Boris77777
0

Всю работу обозначим цифрой 1, тогда.....................

 

Приложения:
Вас заинтересует