• Предмет: Математика
  • Автор: ekaterina19993
  • Вопрос задан 2 года назад

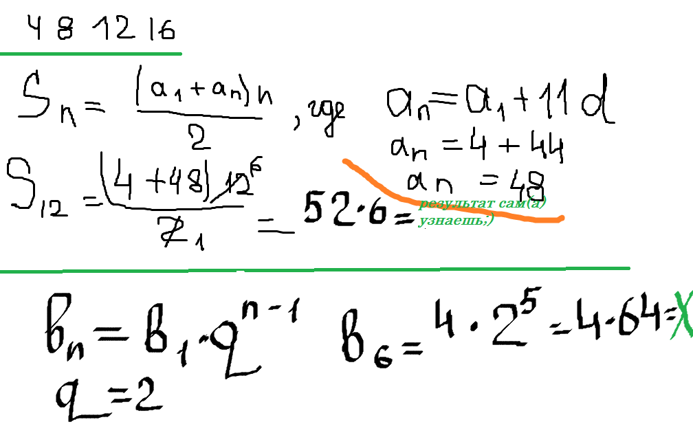
найдите шестой член геометрической прогрессиии сумму двенадцати первых членов арифмитической пргрессии если известны четыре ее члена 4,8,12,16

Ответы

Ответ дал: atlanowasofia
1
а результаты сам(а) узнай;)
Приложения:
Вас заинтересует