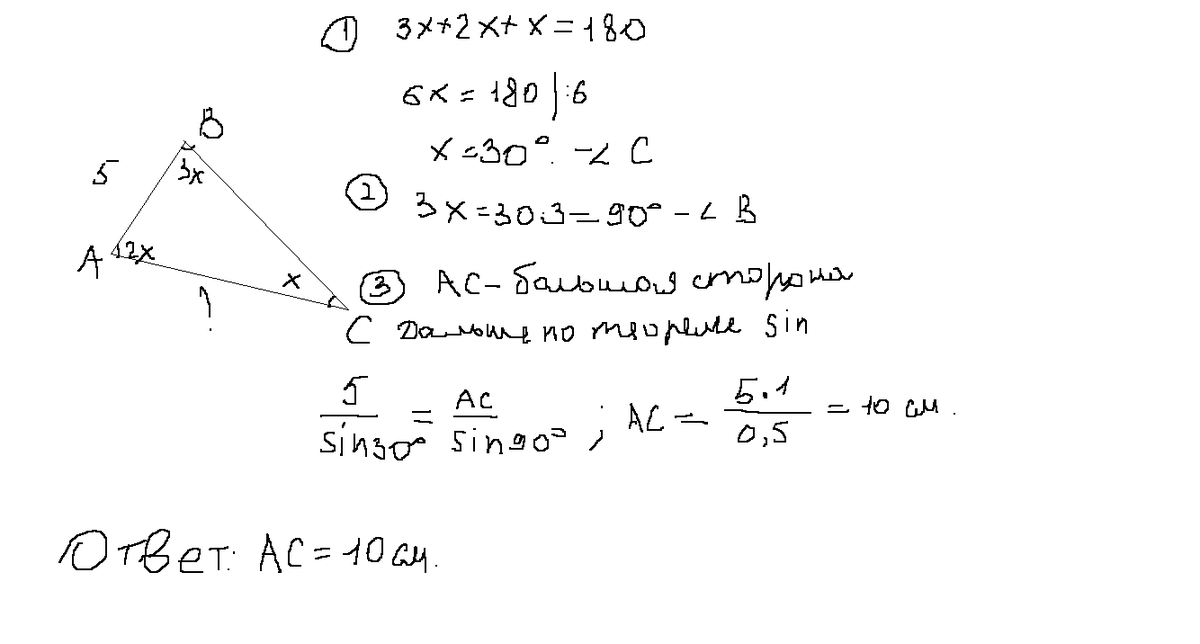
Углы треугольника относятся как 2:3:1, а меньшая сторона его равна 5. Найдите большую сторону треугольника.
Ответы
Ответ дал:
0
сМОТРИ...........................
Приложения:

Вас заинтересует
2 года назад
8 лет назад
10 лет назад
10 лет назад