• Предмет: Алгебра
  • Автор: Kana0025
  • Вопрос задан 3 года назад

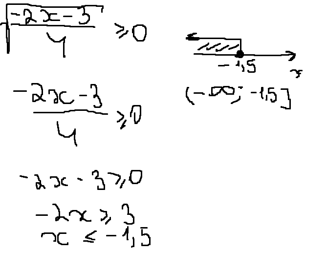
Укажите допустимые значения переменной в выражении
корень квадратный из -2х-3/4 (-2х-3 дробь 4)
Спасибо :D


kseniyagavrilova: Что значит корень квадратный? Это выражение под корнем?
Kana0025: да
kseniyagavrilova: Вырожение все под корнем или только знаменатель?)
kseniyagavrilova: выражение)
Kana0025: всё

Ответы

Ответ дал: kseniyagavrilova
5
Такое выражение?
Если да, то подкоренное выражение всегда должно быть больше или равно нулю.

Приложения:

Kana0025: Да такое) спасибо большое
kseniyagavrilova: Да незки)
Вас заинтересует